外匯交易

外匯(Foreign Exchange)是國際匯兌的簡稱,指外國貨幣或以外國貨幣表示的能用於國際結算的支付手段和資產,主要包括信用票據、有價證券、支付憑證及外匯現鈔等。 外匯交易市場,也稱為"Forex"或"FX"市場,是世界上最大的金融市場,據國際清算銀行(BIS)統計,每天的流量超過5.3萬億美金——相當於美國所有證券市場交易總和的3倍。 外匯交易市場相較於其他市場,由於其高流動性,從周一至週五可連續24小時交易,備受包括銀行、公司、金融機構以及零售投資者的青睞。

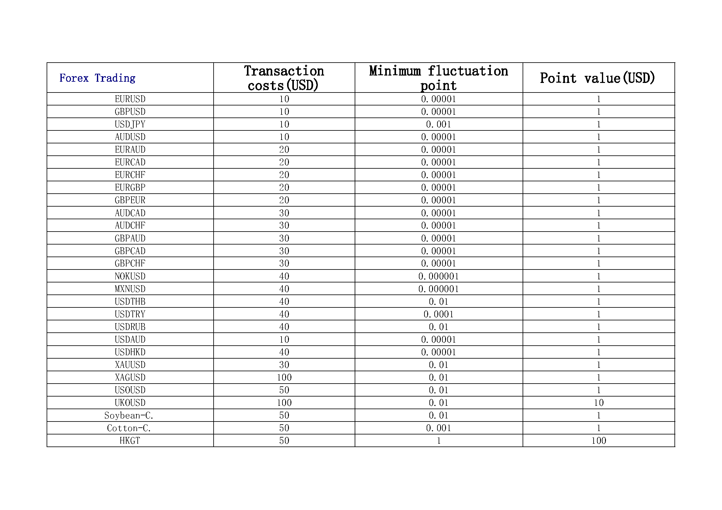
外匯差價合約產品詳情

下表列出了我們“新一代”差價合約交易平台上一些最熱門外匯貨幣對的點差、保證金和交易時段。

Test Markets Ltd.提供創新獨特的解決方案是通往外匯市場的關鍵

我們精益求精,以對每個人和機構超一流的技術支持和服務品質引領市場潮流

高風險提示:外匯保證金交易是高風險的投資行為,以槓桿場外交易即期外幣合約進行骰子和交易是投資性的,具有高風險性, 通常只適合於能夠承擔超過其保證金存款損失風險的人士.鑑於存在這些風險,客戶應該在完全連接所涉及交易的性質以及自身面臨風險的程度後才進行交易.場外外匯現貨交易對於某些顧客並不合適.客戶應該根據個人經驗、骰子目標、資金來源和其他相關情況仔細地考慮這類交易是否適合您.您應該很清楚地認識到外匯交易的風險,如果您有任何疑問,請您諮詢您的專業財務顧問
交易免責聲明:Test Markets Ltd.所提供的相關博客了解及其他來源的經濟和市場信息,僅作為一種培訓服務,Test Markets Ltd. 並不推薦或認可任何來源的信息及第三方的交易分析及指導.客戶應該認真考慮和分析相關博客或其他來源的信息, 以便做出明智的分析和決策.請客戶注意,過去的交易記錄並不能作為預測未來交易結果的依據.我們建議客戶在投資前要謹慎了解相關的博客, 基金經理和系統供應商等的交易業績展示或投資說明,網站所引述的任何信息、意見、研究、數據或其他信息僅僅作為客觀市場評論,並不構成投資或交易建議.我們明確表示對客戶因為直接或間接使用以上任何資源的信息所產生的的交易損失或利潤不承擔責任.再次強調,任何投資建議及歷史業績並不能作為預測未來交易結果的依據

Test Markets Ltd.all rights reserved. MSB Registration Number: 31000293152433

https://t.me/wanchengmubiao