Foreign exchange transactions

Foreign Exchange (Foreign Exchange) is the abbreviation of international exchange, refers to foreign currency or means of payment and assets that can be used for international settlement in foreign currency, mainly including credit notes, marketable securities, payment vouchers and foreign currency cash, etc. The foreign exchange market, also known as the "Forex" or "FX" market, is the largest financial market in the world. According to statistics from the Bank for International Settlements (BIS), the daily flow of more than 5.3 trillion US dollars-equivalent to all securities market transactions in the United States 3 times the sum. Compared with other markets, the foreign exchange market is highly liquid and can be traded continuously for 24 hours from Monday to Friday. It is favored by banks, companies, financial institutions and retail investors.

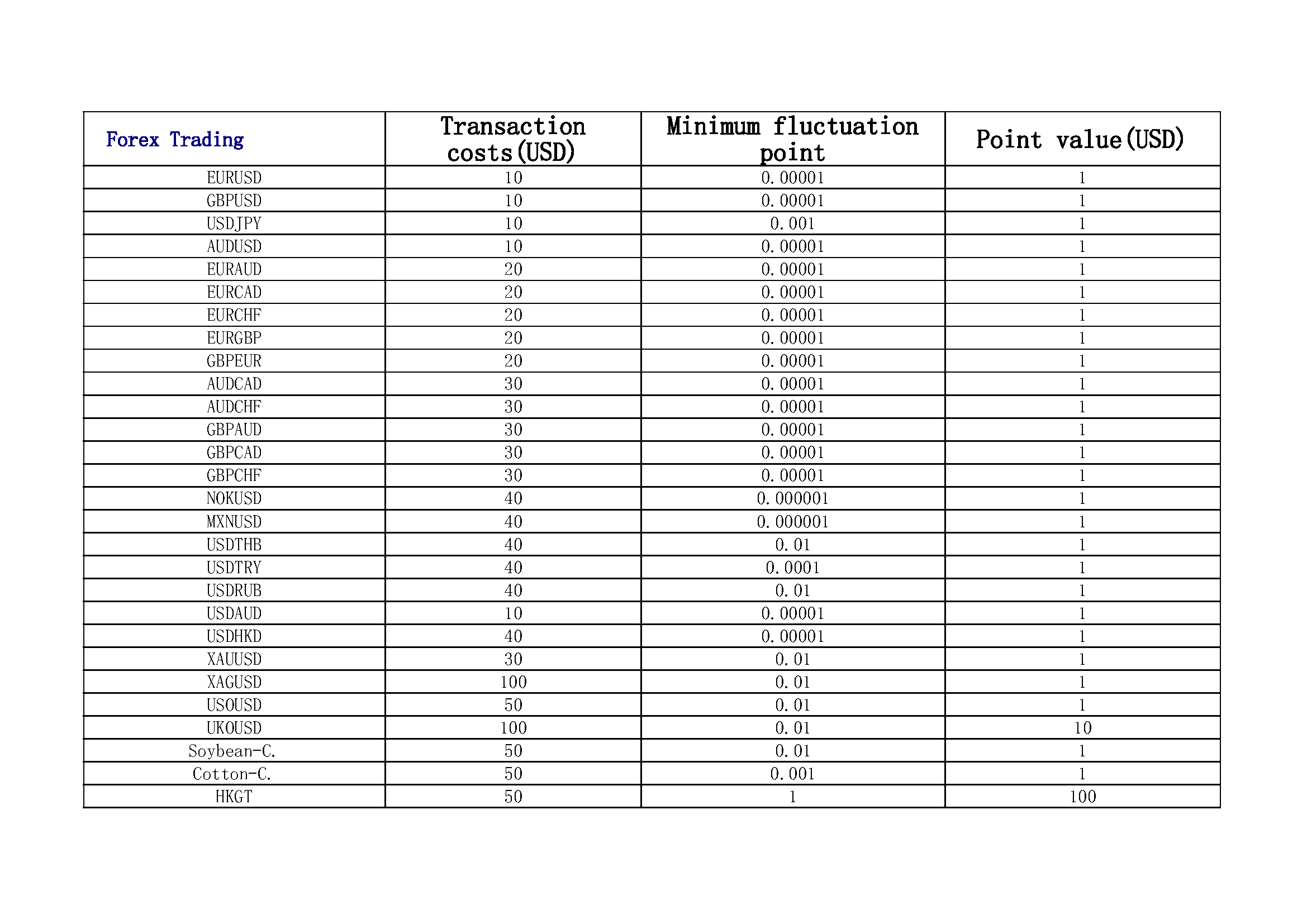
Forex CFD product details

The following table lists the spreads, margins and trading hours of some of the most popular foreign exchange currency pairs on our "new generation" CFD trading platform.

Test Markets Ltd.provides innovative and unique solutions is the key to the foreign exchange market

We strive for perfection and lead the market trend with superb technical support and service quality for everyone and institutions

High risk reminder: Foreign exchange margin trading is a high-risk investment behavior. Dice and trading with leveraged over-the-counter spot foreign currency contracts are investment and have high risks. Usually only suitable for people who can bear the risk of loss in excess of their margin deposits. In view of these risks, customers should fully connect the nature of the transaction involved and the degree of risk they face before trading. OTC foreign exchange spot transactions are for some customers. It is not appropriate. Customers should carefully consider whether this type of transaction is suitable for you based on personal experience, dice goals, funding sources and other relevant circumstances. You should clearly recognize the risks of foreign exchange transactions. If you have any questions, please consult Your professional financial advisor
Transaction disclaimer: The relevant blog links and other sources of economic and market information provided by Test Markets Ltd. are only used as a training service. Test Markets Ltd. does not recommend or endorse any source of information and third-party transaction analysis and guidance. Customers should seriously consider And analyze information from related blogs or other sources, In order to make wise analysis and decision-making. Please note that past transaction records cannot be used as a basis for predicting future transaction results. We recommend that customers carefully understand relevant blogs before investing. Fund managers and system suppliers, etc.’s trading performance display or investment description, any information, opinions, research, data or other information quoted on the website is only for objective market reviews and does not constitute investment or trading advice. We expressly express to our customers because No responsibility is assumed for trading losses or profits arising from the direct or indirect use of any of the above resource information. Again, any investment advice and historical performance cannot be used as a basis for predicting future trading results

Test Markets Ltd.all rights reserved. MSB Registration Number: 31000293152433

https://t.me/wanchengmubiao